活性炭改性后储存二氧化碳
活性炭改性后储存二氧化碳
全球变暖是由温室气体排放到大气中引起的,例如二氧化碳,甲烷,氯氟化碳,臭氧和一氧化二氮等。由于使用化石燃料,二氧化碳的影响是导致全球变暖的主要原因,而化石燃料占全球能源需求的98%。因此,二氧化碳的排放量非常大。通过活性炭吸附和存储的方法进行碳固存是降低大气中的二氧化碳排放比较有用的方法之一。乙二胺和三亚乙基四胺改性的活性炭是可以对二氧化碳进行储存的材料。
在气体的吸附与储存中,燃烧后吸附是最常用的策略。使用基于吸附的方法具有很高的效率和选择性,并且非常可行,因此非常有前途。链烷醇胺的水性溶剂,例如单乙醇胺和二乙醇胺,通常用作催化燃烧的基于胺的溶剂。但是,基于水吸收的方法存在一些缺点,例如吸收容量低,稳定性差和再生成本高。这些问题可以通过使用具有高表面积和孔体积的多孔吸附剂来克服,例如活性炭材料,沸石和金属有机骨架。
介孔材料具有较高的表面积,良好的热/化学稳定性和易于功能化的表面,因此有可能被用作二氧化碳捕集材料。另一方面,中孔活性炭有潜力被用作二氧化碳存储材料,因为它具有许多优点,包括表面积大,稳定性高和易于表面官能化。但是,物理吸附使中孔活性炭与温度有关,并且选择性低。由于这些原因,用作二氧化碳存储材料的碳基材料的开发主要集中在通过表面改性提高二氧化碳的吸附能力上。将胺官能团引入活性炭表面可以克服这一问题,也有许多研究已经证明,当用氮官能团官能化活性炭时,活性炭的二氧化碳吸附能力会显着提高。
用胺官能团改性活性炭
活性炭通过湿法浸渍法被胺官能团改性。在制备中,将所需量的乙二胺与介孔碳的重量比为50%wt和100%wt溶解在10mL乙醇中,然后将介孔炭或活性炭分散到溶液中,进一步搅拌6小时乙醇在室温下蒸发过夜。类似的制备方法也适用于三亚乙基四胺改性的介孔炭和活性炭。
二氧化碳吸附测试
首先使用具有两个胺官能团的乙二胺研究了胺官能化活性炭中胺官能团对其二氧化碳吸附能力的影响。图1显示了负载有乙二胺活性炭的二氧化碳吸附能力。通常,较高浓度的乙二胺可提供更多的胺官能团,使其易于与二氧化碳反应,这对于二氧化碳吸附是有利的。

图1:活性炭和(a)活性炭载乙二胺对二氧化碳的吸附能力,(b)活性炭载乙二胺和三亚乙基四胺的对比。
吸附原理介绍
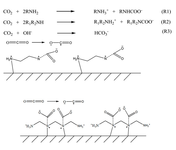
活性炭表面上存在的官能团(即胺和羟基)在二氧化碳吸附反应中起重要作用。在三亚乙基四胺中,乙二胺的伯胺(RNH2)与二氧化碳反应形成氨基甲酸酯离子,如反应(R1)和图2所示。在MCTETA中,伯胺和仲胺(分别为RNH2和R2NH)与如反应(R2)所示,如图2下部分所示。另一方面,活性炭中的羟基官能团可通过反应(R3)与CO2反应形成碳酸氢根离子。这解释了为什么在改性之前,介孔炭和活性炭都已经具有二氧化碳的吸附能力。

图2:胺官能化活性炭表面上的乙二胺和三亚乙基四胺与二氧化碳之间的拟议反应机理。
活性炭改性后储存二氧化碳,用胺官能团乙二胺和三亚乙基四胺对碳材料(介孔炭和活性炭)进行了改性。载乙二胺的活性炭在15分钟的流动时间内显示出最佳的二氧化碳吸附能力,但在更长的时间内,载三亚乙基四胺的活性炭表现出对二氧化碳吸附的稳定增加。研究表明,低三亚乙基四胺负载量的活性炭改性可以减少孔堵塞和扩散障碍。因此,它的四个胺官能团有利于二氧化碳的吸附能力。结果还表明,选择三亚乙基四胺时,浓度30表现出较高的二氧化碳吸附容量。高浓度的胺化合物会阻塞活性炭的孔,这可能会阻碍二氧化碳与胺官能团之间的相互作用。
本文作者:董帝豪
本文地址:http://www.boyouhb.com/245.html
本文来源:河南博友环保科技有限公司
本文著作权归河南博友环保科技有限公司所有,任何形式的转载都请联系作者获得授权并注明出处。(复制此段话)













